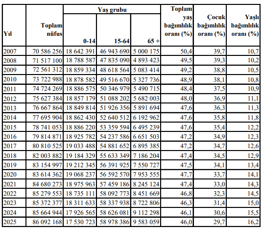
TÜİK, 2025 yılı nüfus sonuçlarını açıkladı. Buna göre, Türkiye’de 2025 yılında, çalışma çağındaki her 100 kişi, 29,7 çocuğa ve 16,2 yaşlıya bakıyor.

SİGORTA GAZETESİ/ÖZEL HABER
Çalışma çağındaki her 100 kişi, 29,7 çocuğa, 16,2 yaşlıya bakıyor. TÜİK, 2025 yılı nüfus sonuçlarını açıkladı. Türkiye nüfusu 86 milyon 92 bin 168 kişi oldu.
Açıklanan yeni nüfusa göre, 2020 yılında 0-14 yaş arasının toplam nüfus içindeki oranı yüzde 22,8 iken, bu oran 2025 yılında yüzde 20,4’e geriledi. 15-64 yaş grubunun 2020 yılında toplam nüfus içindeki oranı yüzde 67,7 iken, 2025 yılında bu oran yüzde 68,5’e yükseldi. 65 ve üzeri yaş grubunun 2020’de toplam nüfus içindeki oranı yüzde 9,5 iken, bu oran 2025 yılında yüzde 11,1’e çıktı.
2025 yılında çalışma çağındaki nüfusun oranı yüzde 68,5 oldu. Çalışma çağı olarak tanımlanan 15-64 yaş grubundaki nüfusun oranı, 2007 yılında yüzde 66,5 iken 2025 yılında yüzde 68,5 oldu. Diğer yandan çocuk yaş grubu olarak tanımlanan 0-14 yaş grubundaki nüfusun oranı yüzde 26,4’ten yüzde 20,4’e gerilerken, 65 ve daha yukarı yaştaki nüfusun oranı ise yüzde 7,1’den yüzde 11,1’e yükseldi.
Çalışma çağındaki birey başına düşen çocuk ve yaşlı birey sayısını gösteren toplam yaş bağımlılık oranı, 2024 yılında yüzde 46,1 iken 2025 yılında yüzde 46’ya düştü. Çalışma çağındaki birey başına düşen çocuk sayısını ifade eden çocuk bağımlılık oranı, yüzde 30,6’dan, yüzde 29,7’ye gerilerken, çalışma çağındaki birey başına düşen yaşlı birey sayısını ölçen yaşlı bağımlılık oranı ise yüzde 15,5’ten yüzde 16,2’ye yükseldi. Diğer bir ifadeyle, Türkiye’de 2025 yılında, çalışma çağındaki her 100 kişi, 29,7 çocuğa ve 16,2 yaşlıya bakmaktadır.
Yaş Grubuna Göre Nüfus ve Yaş Bağımlılık Oranı

Yaş Grubuna Göre Nüfus ve Toplam Nüfus İçindeki Oranı















